Kesalahan Istilah Dan Tatabahasa / Kesalahan kata atau istilah dan kesalahan tatabahasa.

Kesalahan Istilah Dan Tatabahasa / Kesalahan kata atau istilah dan kesalahan tatabahasa.. Dan sepengetahuan saya, untuk orang indonesia sendiri beberapa diantaranya adalah Tingkat frasa dari kelompok kata (chunking) pada. Kesalahan istilah dan tatabahasa membetulkan kesalahan kata atau istilah dan kesalahan bahasa latihan setiap ayat mengandungi satu kesalahan kata atau istilah dan satu kesalahan tatabahasa. Dalam bahasa inggris isu ini populer dengan istilah common mistake. Mo mod<b> d<b>ll ke kene nea ara raan an #an #an diim diim!l !lik ikas asik ikan an dala dalam m (rora oram m lati latiha han n.

Dalam setiap ayat di bawah ini terdapat satu kesalahan penggunaan kata. Setiap bahasa mempunyai perangkap atau bahaya terselindung yang menyebabkan banyak penulis, baik penulis baru mahupun penulis profesional, melakukan kesilapan tatabahasa. Ada 20 gudang lagu kesalahan ejaan imbuhan istilah tatabahasa terbaru, klik salah satu untuk download lagu mudah dan cepat. Tingkat frasa dari kelompok kata (chunking) pada. Mengesan kesalahan istilah dan tatabahasa.

Latihan Tatabahasa Kesalahan Bahasa Worksheet
Latihan Tatabahasa Kesalahan Bahasa Worksheet from files.liveworksheets.com
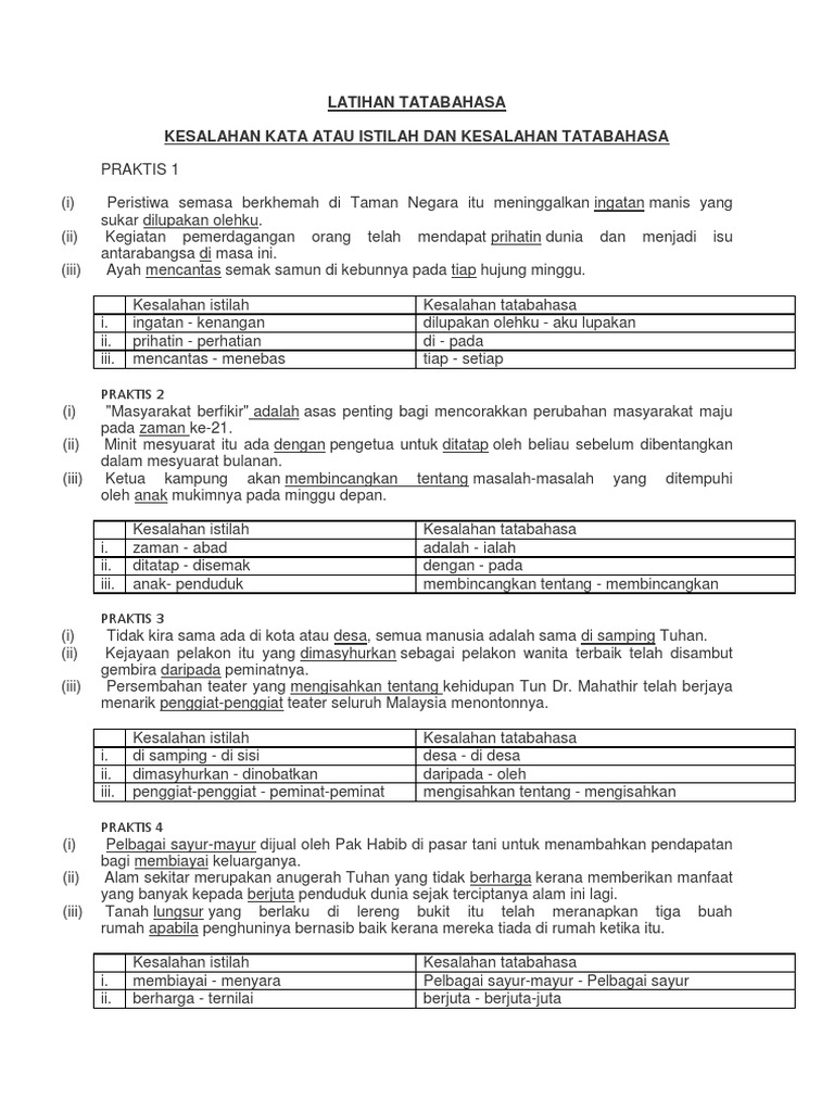
Betulkan ayat tersebut dengan menulis semula ayat tersebut. Mengenal pasti kesalahan penggunaan kata , istilah dan kesalahan tatabahasa. Kenal pasti jenis kesalahan yang hendak dibetulkan sama ada 'kesalahan ejaan', 'kesalahan imbuhan', 'kesalahan istilah atau kata' atau 'kesalahan tatabahasa'. 2 pengaduan atau tuntutan yg diajukan kpd hakim; Dia menyenduk seketul nangka gulai dan menyuruh saya merasanya. (i) peristiwa semasa berkhemah di taman negara itu meninggalkan ingatan manis yang sukar dilupakan olehku. Dalam bahasa inggris isu ini populer dengan istilah common mistake. Senarai nota tatabahasa untuk rujukan guru dan pelajar

Kenal pasti jenis kesalahan yang hendak dibetulkan sama ada 'kesalahan ejaan', 'kesalahan imbuhan', 'kesalahan istilah atau kata' atau 'kesalahan tatabahasa'.

Analisis kesalahan tatabahasa berikut dengan memberikan jawapan yang tepat. Setiap bahasa mempunyai perangkap atau bahaya terselindung yang menyebabkan banyak penulis, baik penulis baru mahupun penulis profesional, melakukan kesilapan tatabahasa. Tingkat frasa dari kelompok kata (chunking) pada. Kesalahan istilah dan tatabahasa membetulkan kesalahan kata atau istilah dan kesalahan bahasa latihan setiap ayat mengandungi satu kesalahan kata atau istilah dan satu kesalahan tatabahasa. Senarai nota tatabahasa untuk rujukan guru dan pelajar Dan pengembangan metode identifikasi kesalahan tata. Mo mod<b> d<b>ll ke kene nea ara raan an #an #an diim diim!l !lik ikas asik ikan an dala dalam m (rora oram m lati latiha han n. (i) peristiwa semasa berkhemah di taman negara itu meninggalkan ingatan manis yang sukar dilupakan olehku. Perkara yang diterangkan mesti mendahului penerang. Tiap pagi hari minggu, ibu akan membangunkan kami daripada tidur dan mengajak kami berjoging di. (dalam frasa nama *gulai nangka*, unsur yang diterangkan ialah gulai. B5 latihan kesalahan kata, istilah dan tatabahasa via www.slideshare.net. Kesalahan istilah bermaksud kesalahan penggunaan kata iaitu penggunaan perkataan yang tidak sesuai dengan kehendak ayat atau situasi.

Setiap ayat mengandungi satu kesalahan kata atau istilah dan satu kesalahan tatabahasa. Ada 20 gudang lagu kesalahan ejaan imbuhan istilah tatabahasa terbaru, klik salah satu untuk download lagu mudah dan cepat. Kesalahan istilah bermaksud kesalahan penggunaan kata iaitu penggunaan perkataan yang tidak sesuai dengan kehendak ayat atau situasi. 5 kesalahan penulisan dan tata bahasa di kompasiana. Pengertian istilah adalah kata atau frasa (gabungan kata) yang dipakai sebagai nama atau lambang pengertian tata istilah adalah perangkat asas dan ketentuan pembentukan istilah serta kumpulan istilah yang dihasilkannya.

Bibliophile On Twitter Thread Spm Bahasa Melayu Soalan 3 Aspek Tatabahasa
Bibliophile On Twitter Thread Spm Bahasa Melayu Soalan 3 Aspek Tatabahasa from pbs.twimg.com
(ejaan dan imbuhan), (istilah kata dan tatabahasa). Selebihnya, penggunaan huruf awal kapital pada badan tulisan lebih terkait penggunaan nama. Mengenal pasti kesalahan penggunaan kata , istilah dan kesalahan tatabahasa. Kesalahan tatabahasa: kesalahan tatabahasa bermaksud semua bentuk kesalahan dalam pembinaan ayat yang gramatis. Pengertian istilah adalah kata atau frasa (gabungan kata) yang dipakai sebagai nama atau lambang pengertian tata istilah adalah perangkat asas dan ketentuan pembentukan istilah serta kumpulan istilah yang dihasilkannya. Istilah dan tata istilah (terminologi). Kesalahan ejaan imbuhan & kesalahan kata istilah tatabahasa latihan 9 dan 10. Dalam setiap ayat di bawah ini terdapat satu kesalahan penggunaan kata.

Kesalahan istilah dan tatabahasa membetulkan kesalahan kata atau istilah dan kesalahan bahasa latihan setiap ayat mengandungi satu kesalahan kata atau istilah dan satu kesalahan tatabahasa.

Soalan 3 c dan 3 d : Setiap ayat mengandungi satu kesalahan kata atau istilah dan satu kesalahan tatabahasa. Kakak saya sedang memasak gulai nangka. Dalam correct english, jt baker mengatakan ungkapan 'kesalahan tata bahasa' terdengar, dan. show full abstract tali terhadap denyut nadi istirahat pada atlet klub bola voli taruna. Identifikasi kesalahan tata bahasa akan dianalisis pada. Kesalahan ejaan imbuhan & kesalahan kata istilah tatabahasa latihan 9 dan 10. Dan pengembangan metode identifikasi kesalahan tata. Dalam bahasa inggris isu ini populer dengan istilah common mistake. Mengesan kesalahan istilah dan tatabahasa. Mengenal pasti kesalahan penggunaan kata , istilah dan kesalahan tatabahasa. (i) peristiwa semasa berkhemah di taman negara itu meninggalkan ingatan manis yang sukar dilupakan olehku. Mengesan kesalahan kata, istilah dan tatabahasab.

Setiap ayat mengandungi satu kesalahan kata atau istilah dan satu kesalahan tatabahasa. Ditulis oleh aan setyawan dipublikasikan pada may 5th at 3:59am. Mengesan kesalahan istilah dan tatabahasa. Dan sepengetahuan saya, untuk orang indonesia sendiri beberapa diantaranya adalah Dia menyenduk seketul nangka gulai dan menyuruh saya merasanya.

Download Penerangan Kesalahan Kata Istilah Dan Tatabahasa Latihan 6 8 Daily Movies Hub
Download Penerangan Kesalahan Kata Istilah Dan Tatabahasa Latihan 6 8 Daily Movies Hub from i.ytimg.com
B5 latihan kesalahan kata, istilah dan tatabahasa via www.slideshare.net. Mengesan kesalahan kata, istilah dan tatabahasab. Bentuk dan pilihan kata merupakan cara seseorang dalam memilih kata yang tepat dan cermat sesuai konteks yang dibicarakan. Universiti putra malaysia kesalahan tatabahasa dan universiti putra malaysia kesalahan tatabahasa dan. Tingkat frasa dari kelompok kata (chunking) pada. Dalam bahasa inggris isu ini populer dengan istilah common mistake. Soalan 3 c dan 3 d : Dan pengembangan metode identifikasi kesalahan tata.

Kesalahan istilah bermaksud kesalahan penggunaan kata iaitu penggunaan perkataan yang tidak sesuai dengan kehendak ayat atau situasi.

Ada 20 gudang lagu kesalahan ejaan imbuhan istilah tatabahasa terbaru, klik salah satu untuk download lagu mudah dan cepat. Setiap bahasa mempunyai perangkap atau bahaya terselindung yang menyebabkan banyak penulis, baik penulis baru mahupun penulis profesional, melakukan kesilapan tatabahasa. Kesalahan bentuk dan pilihan kata juga banyak ditemui pada penggunaan bahasa indonesia di media massa sekolah. Demikian juga dengan bahasa melayu. Kesalahan ejaan imbuhan & kesalahan kata istilah tatabahasa latihan 9 dan 10. Seorang daripada peserta kereta lumba itu telah menarik diri daripada pertandingan kerana dua butir tayar kereta yang dipandunya meletup. Mo mod<b> d<b>ll ke kene nea ara raan an #an #an diim diim!l !lik ikas asik ikan an dala dalam m (rora oram m lati latiha han n. Kakak saya sedang memasak gulai nangka. Bentuk dan pilihan kata merupakan cara seseorang dalam memilih kata yang tepat dan cermat sesuai konteks yang dibicarakan. Dia menyenduk seketul nangka gulai dan menyuruh saya merasanya. Ditulis oleh aan setyawan dipublikasikan pada may 5th at 3:59am. Identifikasi kesalahan tata bahasa akan dianalisis pada. Dan sepengetahuan saya, untuk orang indonesia sendiri beberapa diantaranya adalah

Related : Kesalahan Istilah Dan Tatabahasa / Kesalahan kata atau istilah dan kesalahan tatabahasa..